昌(chang)利(li)在(zai)判(pan)斷(duan)金(jin)剛(gang)石(shi)鋸(ju)片(pian)結(jie)構(gou)的(de)動(dong)態(tai)特(te)性(xing)是(shi)通(tong)過(guo)模(mo)態(tai)參(can)數(shu)直(zhi)接(jie)體(ti)現(xian)出(chu)來(lai)的(de),很(hen)業(ye)內(nei)模(mo)態(tai)參(can)數(shu)應(ying)用(yong)到(dao)機(ji)械(xie)結(jie)構(gou)的(de)動(dong)態(tai)分(fen)析(xi)中(zhong)。通(tong)常(chang)來(lai)說(shuo),頻(pin)域(yu)法(fa)和(he)時(shi)域(yu)法(fa)是(shi)識(shi)別(bie)模(mo)態(tai)參(can)數(shu)的(de)兩(liang)類(lei)基(ji)本(ben)方(fang)法(fa)。
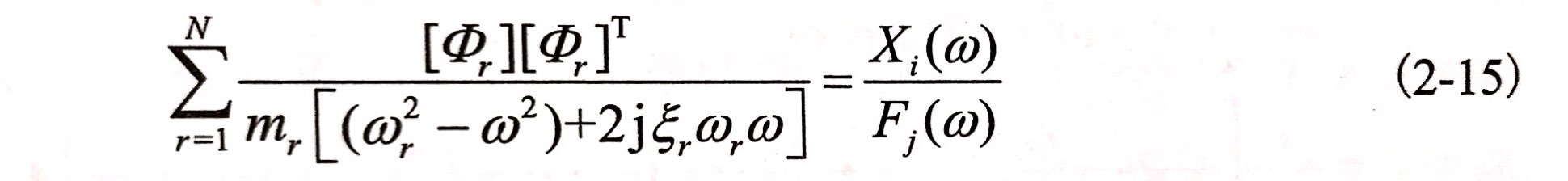
金剛石鋸片模態實驗中傳遞函數的確定:對於N自由度的振動係統,假設該阻尼成比例性,在這種簡化情況下,多數是符合實際要求的
金剛石鋸片模態分析實質是、將本來的物理坐標係統中所描述的響應向量、轉換為模態的坐標係統、其本質是一種坐標變換。
金剛石鋸片是由基體和刀頭組成的。刀頭的形狀有很多種。胎體材料應具一定的硬度、耐磨性和韌性。
金剛石鋸片片體開了是什麼狀況,有人知道麼?原因是刀頭金屬結合劑硬度比被加工材料硬度高很多、導致金剛石鋸片在切割時受到錘擊、應采用軟結合劑刀頭。
金剛石鋸片燒刀頭可以通過鋸片基體的顏色反映出尤如基體發黑、發藍。
金剛石切割片在使用過程中、如果使用不當會影響加工質量和使用壽命、嚴重時還會造成事故
石材荒料加工、是指從礦山開采出來的具有一定形狀的規格方體石材、通過采用不同金剛石鋸片加工成板材。