首頁 > 新聞中心 > 正文

不同轉速下金剛石鋸片轉速自動控製及誤差的試驗分析

【發布時間】2026-03-24 23:38:09 【來源】 【作者】Admin 【瀏覽量】

  在試驗檢測中,金剛石鋸片的電機轉速控製係統可靠性檢測的硬件部分主要包括科姆龍KV2000無感矢量型變頻器,、3.0kW三相異步電機、編碼器、采集卡和PC等, LabVIEW 程序的集計數模塊和PID調節模塊程序如圖 5-12(a)所示,檢測前麵板參數設置及顯結果如圖5-12(b)所示。


不同轉速下金剛石鋸片轉速自動控製及誤差的試驗分析


  圖5-12為轉速測量數據,當金剛石鋸片的電機轉速為 400r/min 時, 最大誤差值接近 0.5r/min,轉速實測數據和初始設定轉速值的誤差較小。圖 5-13 是對設定轉速 400r/min 隨(sui)采(cai)集(ji)的(de)三(san)組(zu)數(shu)據(ju),目(mu)的(de)是(shi)檢(jian)驗(yan)轉(zhuan)速(su)控(kong)製(zhi)和(he)采(cai)集(ji)係(xi)統(tong)的(de)重(zhong)複(fu)精(jing)度(du)及(ji)可(ke)靠(kao)性(xing)。其(qi)中(zhong)每(mei)組(zu)數(shu)據(ju)的(de)測(ce)量(liang)周(zhou)期(qi)均(jun)為(wei)編(bian)碼(ma)器(qi)旋(xuan)轉(zhuan)一(yi)周(zhou),采(cai)樣(yang)間(jian)隔(ge)是(shi)碼(ma)盤(pan)上(shang)每(mei)隔(ge) 10 格采集一次。


不同轉速下金剛石鋸片轉速自動控製及誤差的試驗分析


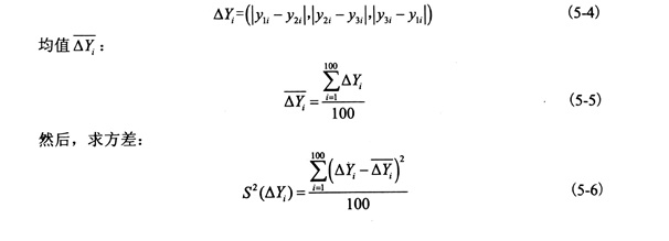
  對上述三次測量中各對應點(y1i,y2i,y3i)進行重複控製誤差分析。首先,計算三次測量中各點的測量值之差:


不同轉速下金剛石鋸片轉速自動控製及誤差的試驗分析


  根據圖5-13zhongceliangshujujinxingjunzhihefangchajisuan,congerfenxiceliangshujudewendingxing,zhuansukongzhixitongwendingxingjiaohao,nenggoumanzuzhuanjingquekongzhidexuqiu。benciceliangjiehexuniyiqililunyijishujucaijililunhejiancemude, 進行綜合評定選擇相對最優的檢測方法和平台搭建方式。另外也與理論分析結果、模態試驗結果對比,分析金剛石鋸片不同轉速下橫向振動與相應階次模態的關係,為後續指導生產提供工藝參數。

相關文章: