首頁 > 新聞中心 > 正文

金剛石切割片焊接強度的檢測方法

【發布時間】2026-03-24 23:38:35 【來源】 【作者】Admin 【瀏覽量】

  根據 EN 標準及國標相關要求、鋸片的強度檢測通常分為破壞性和非破壞檢測兩種。


  而金剛石切割片鋸片刀頭主要包括連續齒式和分齒式兩種、它們的破壞性如表(7-2)示;非破壞性檢測即產品正常使用時的破壞強度,如表(7-3)所示。


金剛石切割片焊接強度的檢測方法


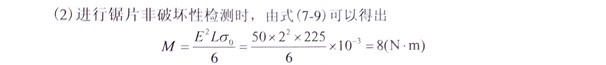
  直徑為350mm的焊接金剛石切割片的基本參數:L為50mm、E為2.0mm,刀齒長度為50mm,刀齒厚度為3.0mm。對該金剛石切割片的焊接強度進行如下的彎矩計算。


金剛石切割片焊接強度的檢測方法


  由上述計算可以看出、當金剛石切割片在實際加工受到 20N.m 的力矩時,在刀頭與基體之間的焊接部位沒有出現損傷現象,就可以判斷該產品滿足要求可以正常使用。


  如果出現斷裂或者脫齒等缺陷、則視為設計不合格。如果缺陷出現在刀頭部位,則最小破壞彎矩為


金剛石切割片焊接強度的檢測方法


  也就是說、直徑為 350mm 的金剛石切割片, 在外載荷的作用下,當斷裂陷出現在焊接部位時,其最小破壞彎矩不得低於 20N.m, 在刀頭部位發生斷裂最小破壞彎矩不得低於45N.m。


  綜上所述,刀頭本身的抗彎強度也是鋸片設計一項重要指標。


金剛石切割片焊接強度的檢測方法


  通過上述的計算可以得出當金剛石切割片在實際工作環境下受到的彎矩不低於8N.m時、金剛石鋸片就可以正常使用。

相關文章: